Home ] Up ] Immunology Infectious agents Cellular Biology Molecular biology Instruments Chimical Product PCR ELISA Sites Komabiotech products Product NEW antibodies NEW Cells Culturs EPIGENTEK Electrophoresis Contact Us EnoGene SACACE Albumin—OsrHSA GENTAUR NEWS Antibodies & Supporting ToolsHome ] Up ] Dextran Sulfate - ULTRA PURE Electrophoresis  Albumin—OsrHSA Pricelist:  http://www.diagrade.com/search.php  

Google

       Pricelist 2010 

Home
Up

OUR SUPPLIERS

KOMABIOTECH
301, Gayang Technotown, #1487 Gayang 3 dong, Gangseo-gu
Seoul 157-793, KOREA

Spherotech, Inc.
27845 Irma Lee Circle, Unit 101
Lake Forest, IL 60045

Exalpha Biologicals, Inc.
2 Shaker Road, Unit B101
Shirley, MA 01464

SCETI K.K
BIOSCIENCE
Export                                   DF Kasumigaseki Place,3-6-7 Kasumigaseki Chiyoda-ku, Tokyo 100-0013 JAPAN 

EY Laboratories, Inc. Headquarters
107 N. Amphlett Blvd
San Mateo, CA. 94401 USA

EXBIO Praha, a.s.
Nad Safinou II 366
252 42  Vestec
Czech Republic


Sacace Biotechnologies S.r.l.

Via Scalabrini, 44
22100 Como Italy

 

redcoon België GENTAUR BVBA

VAT BE0473327336

Av. de l Armee 68 B4

1040 Brussels BELGIUM

  Tel + 32 16 58 90 45 

Fax + 32 16 50 90 45

GENTAUR France SARL

SIRET 48423788800017

Rue Lagrange, 9

75005 Paris, France

 Tel 01 43 25 01 50

Fax 01 43 25 01 60 

GENTAUR Germany Marienbongard 20

52074 Aachen, Germany

Tel  0241 56 00 99 68                    Fax 0241 56 00 47 88 

GENTAUR Pol Sp. Z.o.o. Ulica Ogarna 15/19B m2

80-826 GDANSK

Tel 00 48 58 760 77 08

Fax: 00 32 16 50 90 45

GENTAUR Italy

23015 Milano, Italy

 Tel 02 36 00 65 93

Fax 02 36 00 65 94

Česká republika Praha
+420246019719
 

Danmark

+4569918806 

Finland Helsset
+358942419041

Ελλάς Αθήνα
+302111768494
 

Ireland Dublin
+35316526556
 

Luxembourg
+35220880274
 

Magyarország Budapest
+3619980547
 

Nederland
+31208080893
 

Norge Oslo
+4721031366
 

Österreich
+43720880899
 

Sverige Stockholm
+46852503438
 

Schweiz Züri
+41435006251
 

 

Northern America 

Canada Montreal
+15149077481
 

US New York
+17185132983

 

Other Countries redcoon België
0032 (0)16 41 44 07

 

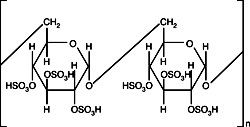
Dextran Sulfate - ULTRA PURE

 






 

Aids in formation of networks (highly localized concentrations of probes) during hybridization, thus expediting the annealing process.


 
Molecular Weight Purity
500,000 99%


 

 

Catalog Number: EC-877